Issue Details

Cover
May, 2019

Volume: 7, Issue: 2

📅 Published on: 05 May 2019

Articles in this Issue

1. 5 May, 2019 Research Article
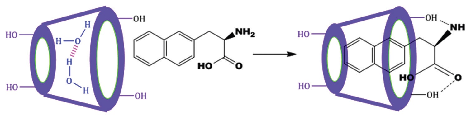
Host-guest Inclusion Complexation of 3-(2-Napthyl)-D-Alanine with α- and β-Cyclodextrins Explored by Nuclear Magnetic Resonance, Fourier-transform Infrared, High-resolution Mass Spectrometry, Surface Tension, and Conductometric Studies

Authors: Binoy Chandra Saha, Subhadeep Saha, Raja Ghosh and Mahendra Nath Roy*

DOI: 10.22607/IJACS.2019.702001 | Pages: 39-45

Article Image
2. 5 May, 2019 Research Article
Validated Spectrophotometric Method for the Determination of Lumefantrine in Pharmaceutical Formulation by Charge-Transfer Complexation with Picric Acid

Authors: Ukpe Ajima*, Johnson O. Onah, Bilma W. Obidah, Paul N. Olotu

DOI: 10.22607/IJACS.2019.702002 | Pages: 46-51

Article Image
3. 5 May, 2019 Research Article
Ferric Dodecyl Sulfonate Catalyzed Facile Synthesis of Tetrahydro-β-Carboline Derivatives

Authors: K. Narasimha Reddy, S. Ramanaiah, N. Ananda Kumar Reddy*

DOI: 10.22607/IJACS.2019.702003 | Pages: 52-58

Article Image
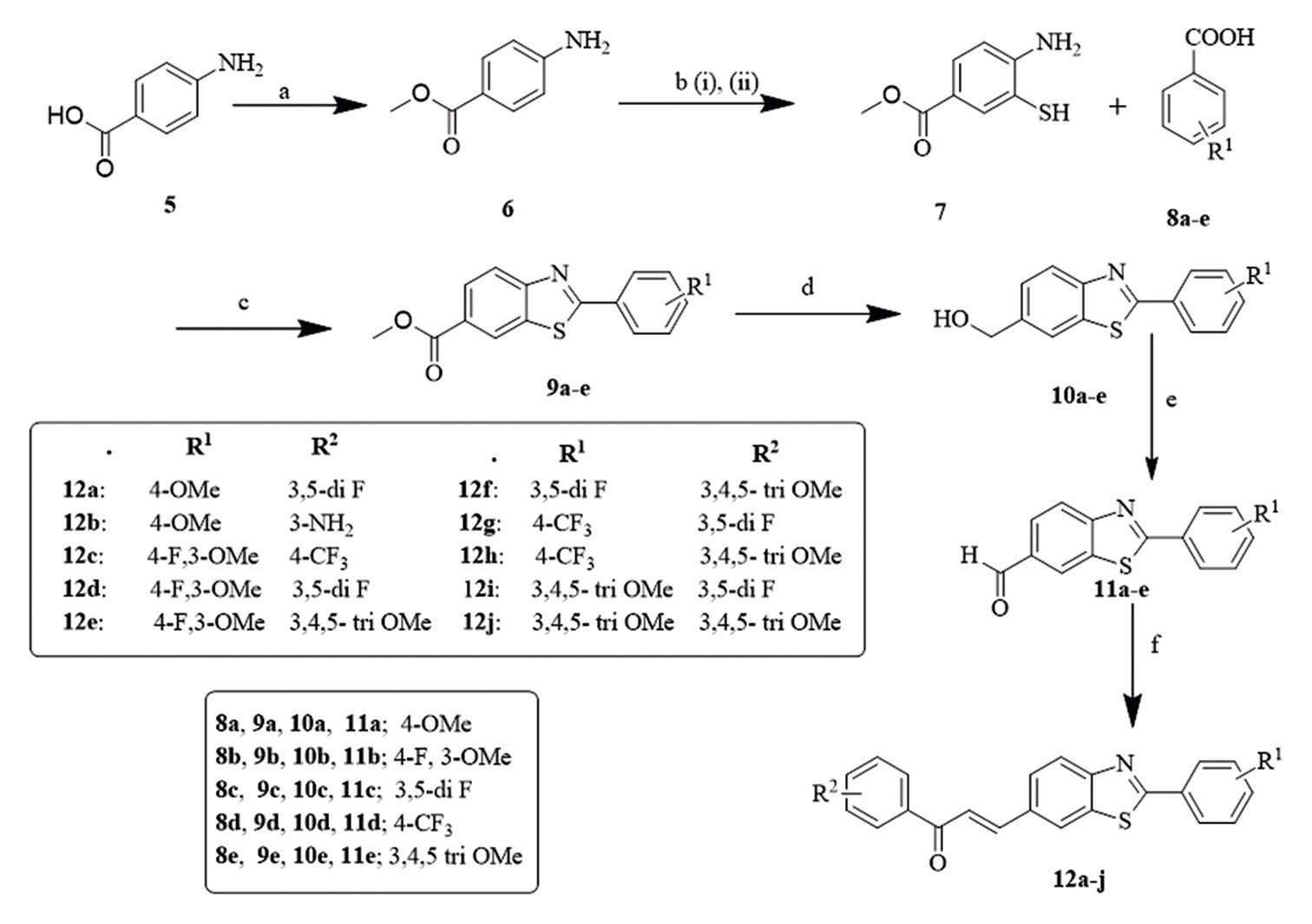
4. 5 May, 2019 Research Article
Design, Synthesis, and Biological Evaluation of Benzothiazole Chalcone Conjugates as Antitumor Agents

Authors: Bobburi Nagaseshadri*, Avuguddi Ramesh Babu, Pathivada Naveen

DOI: 10.22607/IJACS.2019.702004 | Pages: 59-64

Article Image