Issue Details

Cover
May, 2018

Volume: 6, Issue: 2

📅 Published on: 05 May 2018

Articles in this Issue

1. 5 May, 2018 Research Article
Gout Pain Caused by Uric Acid Molecule and Its Solution Caused by Citric Acid Molecule: A Physicochemical Investigation

Authors: Mahendra Nath Roy*, Subhankar Choudhury, Deepak Ekka, Raja Ghosh

DOI: 10.22607/IJACS.2018.602001 | Pages: 59-70

Article Image
2. 5 May, 2018 Research Article
Polyaniline/Zinc Oxide Nanocomposite as a Remarkable Antimicrobial Agent in Contrast with PANI and ZnO

Authors: J. Shanavas Khan, Asha Radhakrishnan, B. Beena*

DOI: 10.22607/IJACS.2018.602002 | Pages: 71-76

Article Image
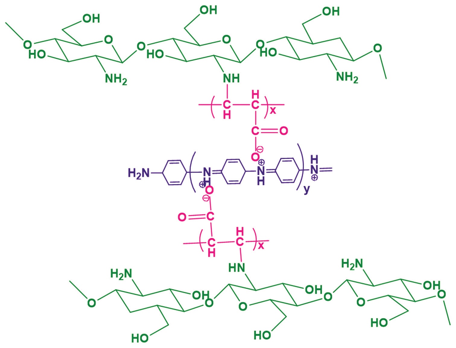
3. 5 May, 2018 Research Article
Adsorptive Removal of Copper and Nickel Ions from Aqueous using Chitosan-g-Poly(Acrylic Acid)/Polyaniline Membrane

Authors: T. J. Sudha Vani, K. S. V. Krishna Rao*

DOI: 10.22607/IJACS.2018.602003 | Pages: 77-82

Article Image
4. 5 May, 2018 Research Article
Optical and Dielectric Properties of Li+ Ion Conducting Solid Polymer Electrolyte

Authors: Shreedatta Hegde, V. Ravindrachary*, S. D. Praveena, B. Guruswamy, Rohan N. Sagar

DOI: 10.22607/IJACS.2018.602004 | Pages: 83-87

Article Image
5. 5 May, 2018 Research Article
Removal of Fluoride from Aqueous Solution by Adsorption on Perchloric Acid Cross-linked Calcium Alginate

Authors: Vijaya Yarramuthi*, Jaya Malathi Jagadeeson, Karuna Devi Rachapudi, Raja Kumar Challagundla

DOI: 10.22607/IJACS.2018.602005 | Pages: 88-95

Article Image