Issue Details

Cover
February, 2022

Volume: 10, Issue: 1

📅 Published on: 05 Feb 2022

Articles in this Issue

1. 5 Feb, 2022 Research Article
A Study on Thermal Behavior and Degradation kinetic of Microgels Based on PEG/Poly (NIPAM-co-AMPS)

Authors: Ajoy Kumar Saikia*

DOI: 10.22607/IJACS.2022.1001001 | Pages: 1-7

Article Image
2. 5 Feb, 2022 Research Article
Study of Electrical and Thermal Properties of Triazine Schiff’s Base Complexes with Transition Metal(II) Ions

Authors: Kukalkar Madhuri, Murhekar Gopalkrushna

DOI: 10.22607/IJACS.2022.1001002 | Pages: 8-12

Article Image
3. 5 Feb, 2022 Research Article
Improvement of Physicochemical and Bacteriological Parameters of a Lake Water using Sand as Filter

Authors: H. Koné*, K. Koné, T. Tiho, A. Kopoin, K. B. Yao

DOI: 10.22607/IJACS.2022.1001003 | Pages: 13-17

Article Image
4. 5 Feb, 2022 Research Article
Synthesis of Substituted-(3-phenyl-1,2,4-oxadiazol-5yl)-methyl-9-chloro-2,3-dimethyl-6,7-dihydro-5H-benzocyclohepten-8-carboxylates

Authors: P. M. Gomedhika, N. J. P. Subhashini*

DOI: 10.22607/IJACS.2022.1001004 | Pages: 18-21

Article Image
5. 5 Feb, 2022 Research Article
3ʹ-Aminofluorene-9-spiro-5ʹ-imidazolidine-2ʹ,4ʹ-dithione as a Sensing Material for Planar Aromatic Solvents

Authors: Tomomi Sakata, Mitsuaki Suzuki

DOI: 10.22607/IJACS.2022.1001005 | Pages: 22- 28

Article Image
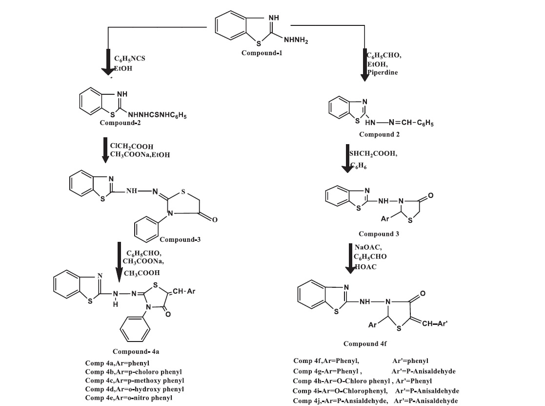
6. 5 Feb, 2022 Research Article
Biological Significance of some Inclusion Complexes of 4-Thiazolidinone Derivatives with β-Cyclodextrin

Authors: Simanchal Dash*

DOI: 10.22607/IJACS.2022.1001006 | Pages: 29-35

Article Image
7. 5 Feb, 2022 Research Article
Effect of Catalysts on Deblocking and Cure Reactions of Phenol-blocked Aliphatic Diisocyanate Adducts and Pre-polymers

Authors: Karthi Rajendran, Vennila Srinivasan, Sankar Govindarajan*

DOI: 10.22607/IJACS.2022.1001007 | Pages: 36-42

Article Image
8. 5 Feb, 2022 Research Article
Synthesis, Spectral Characterization and In vitro Antifungal Activity of New Naphthyl Thiazolidinones

Authors: Ajita Yadav, Shafia Mir, Ayaz Mahmood Dar, Praveen Kumar*

DOI: 10.22607/IJACS.2022.1001008 | Pages: 43-46

Article Image
9. 5 Feb, 2022 Research Article
Synthesis of Fatty Acid Dimers and Their Applications: An Overview

Authors: Gaurav Singh, P. K. S. Yadav*

DOI: 10.22607/IJACS.2022.1001009 | Pages: 47-54

Article Image