Issue Details

Cover
January, 2023

Volume: 10, Issue: 4

📅 Published on: 05 Jan 2023

Articles in this Issue

1. 5 Jan, 2023 Research Article
Acacia Bombax ceiba Linn. in Niger Delta, Nigeria: Proximate and Phytochemicals

Authors: Victoria Bennett*, Jeremiah Patrick Ekubo

DOI: 10.22607/IJACS.2022.1004001 | Pages: 159-162

Article Image
2. 5 Jan, 2023 Research Article
Importance of Standard Scientific Units for the Measurement of Quantities and Properties in Environmental Science

Authors: P. Osman Basha, M. Sridhar Reddy*

DOI: 10.22607/IJACS.2022.1004002 | Pages: 163-166

Article Image
3. 5 Jan, 2023 Research Article
Synthesis, Spectral Characterization and Antioxidant Studies of Ruthenium(II) Hydrazone Complexes

Authors: Maruthachalam Mohanraj, Raju Ravikumar, Mallanaicker Myilsamy, Matheshwaran Dinesh kumar, Rayappan Rajkumar

DOI: 10.22607/IJACS.2022.1004003 | Pages: 167-171

Article Image
4. 5 Jan, 2023 Research Article
Synthesis of Novel Spiro [imidazolidine- pyrazoline]-2, 4-dione Derivatives

Authors: Manju Mehta, Bhupinder Mehta*, Seema Gupta, Vijay Kumar Goel

DOI: 10.22607/IJACS.2022.1004004 | Pages: 172-176

Article Image
5. 5 Jan, 2023 Research Article
Synthesis, Characterization, and Antimicrobial Properties of 6-Methoxy-2,3-Dihydro-4H-Chromen-4-One Based Chalcones

Authors: Sukanya Pati, Prajna P. Mohanta, Ajaya K. Behera, Hari N. Pati*

DOI: 10.22607/IJACS.2022.1004005 | Pages: 177-179

Article Image
6. 5 Jan, 2023 Research Article
A novel method for deoxygenation of sugar lactones: a practical route to synthesis of the key intermediates of the “Statins”

Authors: Naresh Vempala, A. Jaya Shree*

DOI: 10.22607/IJACS.2022.1004006 | Pages: 180-183

Article Image
7. 5 Jan, 2023 Research Article
2-Pyrrolidin-2yl-1H-benzimidazole (PBI): An efficient organocatalyzed synthesis of β-sulphido carbonyl compounds

Authors: Gaurav Praksh, Ajay Kumar Das

DOI: 10.22607/IJACS.2022.1004007 | Pages: 184-188

Article Image
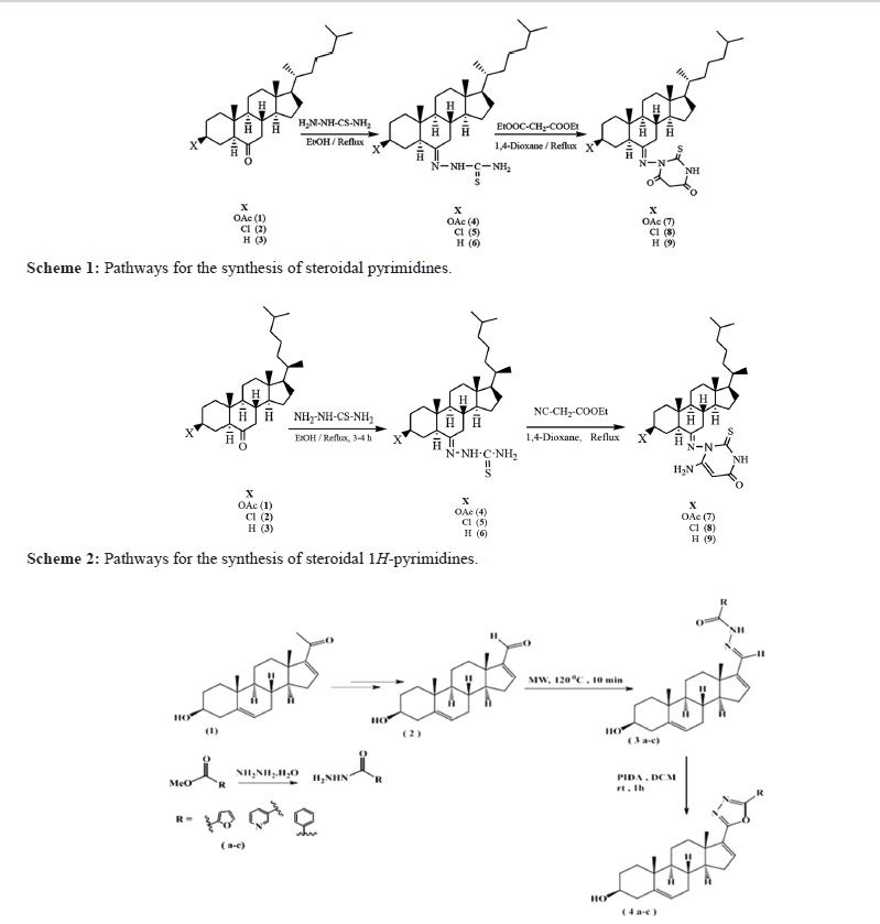
8. 5 Jan, 2023 Review Article
Synthesis of Heterosteroids and their Biological Evaluation: A Review

Authors: Ayaz Mahmood Dar*

DOI: 10.22607/IJACS.2022.1004008 | Pages: 189-205

Article Image
9. 5 Jan, 2023 Research Article
Synthesis, Characterization, Properties, and Applications: A Brief Overview of Polymer Nanocomposites

Authors: Fatma Faheem, Mohd Arsalan

DOI: 10.22607/IJACS.2022.1004009 | Pages: 206-213

Article Image