Issue Details

Cover
September, 2016

Volume: 4, Issue: 3

📅 Published on: 05 Sep 2016

Articles in this Issue

1. 5 Sep, 2016 Research Article
Study of Physico-chemical Properties of Monel M-35-1 Nickel Alloy-fused Silica Metal Matrix Composite for Marine Application

Authors: G. Purushotham1, Joel Hemanth

DOI: | Pages: 235-240

Article Image
2. 5 Sep, 2016 Research Article
Crystallographic and Morphological Study of Barium Substituted Sodium Zirconium Phosphate: Na1−xBax/2Zr2P3O12 (x=0.1-1.0)

Authors: Rashmi Chourasia*, O. P. Shrivastava, Vijay Verma

DOI: | Pages: 241-249

Article Image
3. 5 Sep, 2016 Research Article
Electrochemical Determination of Dopamine and its Simultaneous Resolution in the Presence of Uric Acid at Poly(Pyrocatechol Violet) Modified Glassy Carbon Electrode: A Voltammetric Study

Authors: G. V. Raghunadha Reddy, T. Madhusudana Reddy*, P. V. Narayana, P. Gopal, K. Reddaiah

DOI: | Pages: 250-256

Article Image
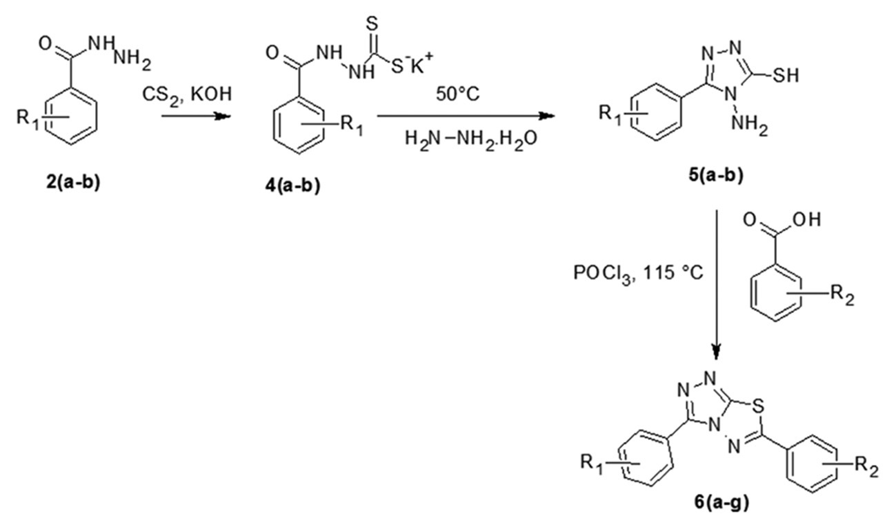
4. 5 Sep, 2016 Research Article
Conventional and Microwave Assisted Synthesis of 5-phenyl-2-substituted-1,3,4-oxadiazole Derivatives and Evaluation of their Biological Studies

Authors: Aruna Sindhe Madhurao, Yadav Dasharathrao Bodke*, Kenchappa Rajappa, Sandeep Telkar, Belenahalli Maheshwarappa Vinoda

DOI: | Pages: 257-268

Article Image
5. 5 Sep, 2016 Research Article
Synthesis, Characterization, and Biological Evaluation of 2-(2-substituted)-5-phenyl-1,3,4-oxadiazole and 3,6-diphenyl[1,2,4]triazole[3,4-] [1,3,4]thiadiazole Derivatives

Authors: Yadav D. Bodke*, Shankarappa A. Biradar, R. Kenchappa

DOI: | Pages: 269-275

Article Image
6. 5 Sep, 2016 Research Article
Elemental Composition of Leaves of Memecylon talbotianum Brand., - Endemic Plant of Western Ghats

Authors: B. Asha, M. Krishnappa*, R. Kenchappa

DOI: | Pages: 276-280

Article Image
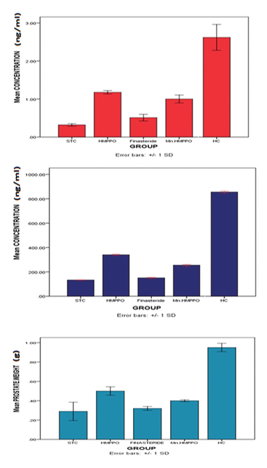
7. 5 Sep, 2016 Research Article
Mn(II) Complex of 1-(5-hydroxy-3-methyl-1-phenyl-1H-pyrazol-4-yl)octadecan-1-one: Synthesis and Anti-prostatic Hyperplasia Activity

Authors: C. E. Sokwaibe, I. E. Otuokere*

DOI: | Pages: 281-286

Article Image
8. 5 Sep, 2016 Research Article
Physicochemical Study of an Ionic Liquid in Diverse Sequential Alkanols with the Manifestation of Solvation Consequence

Authors: Subhankar Choudhury, Milan Chandra Roy and Mahendra Nath Roy*

DOI: | Pages: 287-301

Article Image
9. 5 Sep, 2016 Research Article
Modified Spectrophotometric Methods for Determination of Iron(III) in Leaves and Pharmaceuticals using Salicylic Acid

Authors: N. Rajendraprasad, K. Basavaiah

DOI: | Pages: 302-307

Article Image
10. 5 Sep, 2016 Research Article
Phase Composition Studies of the Clays of Urgut District, Uzbekistan and their Application in the Sorption of some Bivalent Ions

Authors: N.Q. Muhamadiev*, Sh.M. Sayitkulov, Kh.M. Saidov

DOI: | Pages: 308-313

Article Image
11. 5 Sep, 2016 Research Article
Quantum Mechanical Study on The Proton Transfer Mechanism Within at And GC Base Pairs of DNA Nucleobase

Authors: Bipul Bezbaruah*, Chitrani Medhi

DOI: | Pages: 314-320

Article Image
12. 5 Sep, 2016 Research Article
Spectrophotometric Determination of Nitrous Acid in the Aqueous Streams of Fast Reactor Fuel Reprocessing by using Azo dye Method

Authors: M.Suba, P.Velavendan, N.K. Pandey, C. Mallika and U. Kamachi Mudali

DOI: | Pages: 321-326

Article Image
13. 5 Sep, 2016 Research Article
Two Novel Azido, Thiocyanato bridged CoII/CuII complexes derived from Potential Azo-Schiff base blocker ligand (NN) of N,N’-Bis-(2-Amino-Ethyl)-Ethane-1,2-Diamine and 1-(5-chloro-2-hydroxy-phenyl)-Ethanone-Synthesis, characterization and magneto-structural correlations

Authors: Dhrubajyoti Majumdar

DOI: | Pages: 327-335

Article Image
14. 5 Sep, 2016 Research Article
Three New Azido/Thiocyanato Bridged Complexes of CoII/ NiII Derived from Potential Schiff base Blocker Ligand(H2L) of 1-(5-Chloro-2-Hydroxy-Phenyl)-Ethanone and Propane-1,3-diamine-Synthesis, Characterization and Magneto Structural Relationship

Authors: Dhrubajyoti Majumdar

DOI: | Pages: 336-345

Article Image
15. 5 Sep, 2016 Research Article
Utilization of Agro-Waste Material as Potential Adsorbent for Removal of Cu(II) And Ni(II) Ions from Aqueous Phase

Authors: Jeyavathana Samuel, S. Shanthi, R. Vashantha*

DOI: | Pages: 346-354

Article Image