Issue Details

Cover
January, 2017

Volume: 4, Issue: 4

📅 Published on: 05 Jan 2017

Articles in this Issue

1. 5 Jan, 2017 Research Article
Effect of Gelatin Content on Potato Starch Green Composite Films

Authors: Dani Jagadeesh*, K. Prashantha*, N. Mithil Kumar Nayunigari, Arjun Maity

DOI: | Pages: 355-361

Article Image
2. 5 Jan, 2017 Review Article
A Comprehensive Review on Synthetic Approach for Fingolimod D

Authors: Naveen Mulakayala*

DOI: | Pages: 362-366

Article Image
3. 5 Jan, 2017 Research Article
Phlyctis argena Spreng. Flot. Lichen as Biomonitor of Airborne Heavy Metals Near a Nickel Mining Site in Mindoro Island, Philippines

Authors: Jezreel Joy C. Eufemio1, Mary Grace D. C. Empasis, Melrose N. Gabuco, Arthur J. Lagbas*

DOI: | Pages: 362-366

Article Image
4. 5 Jan, 2017 Research Article
Antifibrosis Two-dimensional and Three-dimensional Quantitative Structureactivity Relationship Studies on N1-substituted Phenylhydroquinolinone Derivatives

Authors: M. Abul Kashem Liton*, M. Idrish Ali

DOI: | Pages: 374-385

Article Image
5. 5 Jan, 2017 Research Article
Physico-chemical Parameters and Fertility Status in Selected Soils of Agastheeswaram, Kalkulam and Vilavancode Taluk’s of Kanyakumari District, Tamil Nadu, India: A Study

Authors: T. Jani Subha*, G. Leema Rose

DOI: | Pages: 386-393

Article Image
6. 5 Jan, 2017 Research Article
DNA Binding/Cleavage Activity, Cytotoxic, and Density Functional Theory Studies of Pyridyl-Tetrazole Cu(II) Complexes

Authors: C. Amaravathi, Shaik Mustafa, M. S. Surendra Babu*

DOI: | Pages: 394-400

Article Image
7. 5 Jan, 2017 Research Article
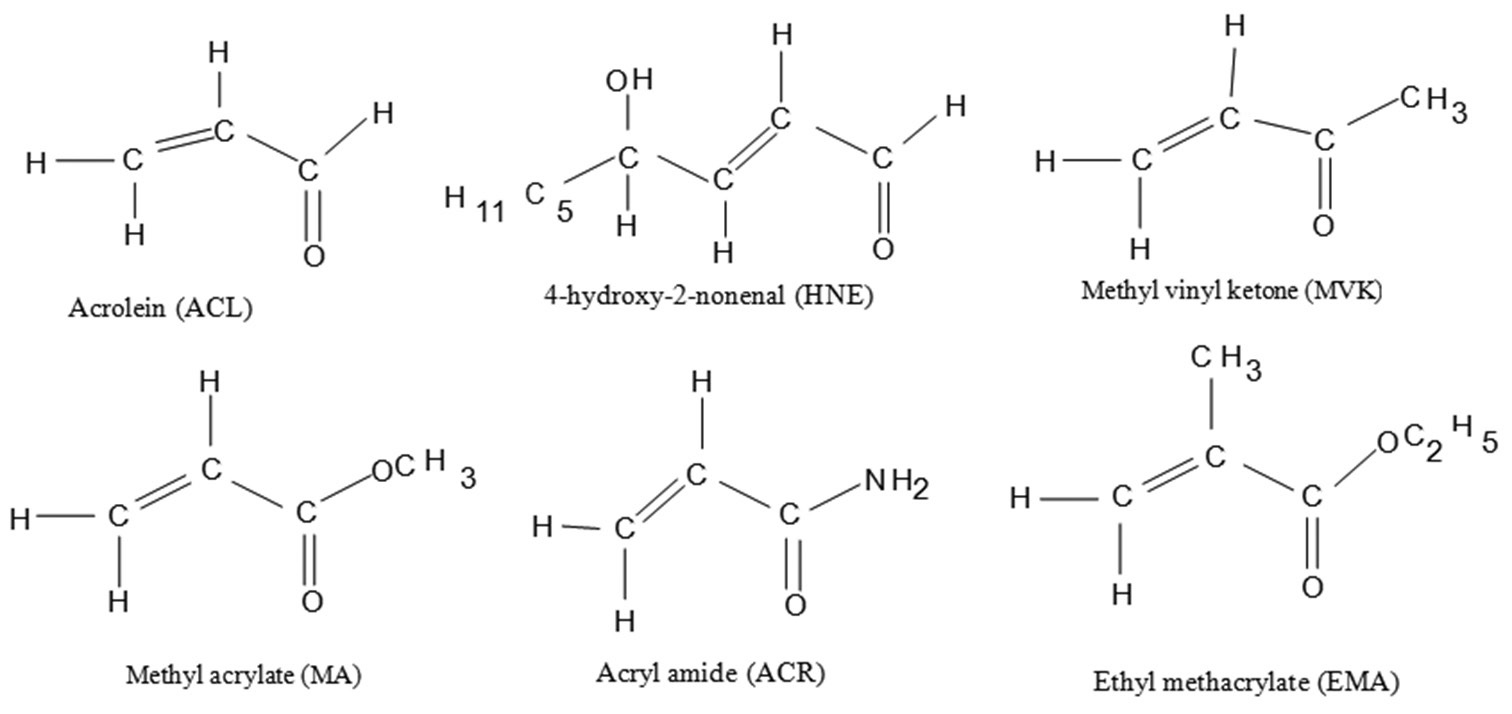
The Ground State Comparative Study of Proton Affi nities and Associated Parameters of Conjugated α,β-unsaturated Carbonyl Compounds in Gas and Aqueous Phases by Density Functional Theory Method

Authors: Biswarup Mandal, Umasankar Senapati, Bhudeb Ranjan De*

DOI: | Pages: 401-408

Article Image
8. 5 Jan, 2017 Research Article
Synthesis and Microbial Studies of New Pyrazoline/Isoxazoline Derivatives Bearing Quinoline Moiety using Ultrasound Irradiation

Authors: Ankit J. Patel, Manish P. Patel*

DOI: | Pages: 409-420

Article Image
9. 5 Jan, 2017 Research Article
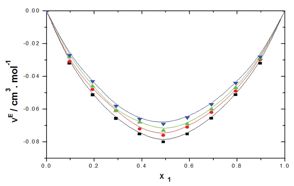
Excess Volumes of Binary Liquid Mixtures of m-xylene with Nitrotoluenes

Authors: P. Nagaraja, C. Narasimha Rao, P. Venkateswarlu*

DOI: | Pages: 421-424

Article Image
10. 5 Jan, 2017 Research Article
Mechanical Characterization of Hybrid Thermoplastic Composites of Short Carbon Fibers and PA66/PP

Authors: B. V. Lingesh, B. N. Ravikumar, B. M. Rudresh*

DOI: | Pages: 425-434

Article Image
11. 5 Jan, 2017 Research Article
Synthesis and Characteristics of 2-Ethylhexylacrylate Acrylonitrile Methacrylic Acid and Vinyl Acetate Emulsions for Water Born Pressure Sensitive Adhesives

Authors: V. Sivaprasad Reddy, K. Chowdoji Rao, T. Subba Rao

DOI: | Pages: 435-439

Article Image
12. 5 Jan, 2017 Research Article
Energy Efficient Functionalization of Low Tg Polymers and their Properties

Authors: V. Subrahmanian*, Sheik Mohammed, Prabhu Kumar

DOI: | Pages: 440-448

Article Image
13. 5 Jan, 2017 Research Article
Synthesis, X-ray Crystal Structure, Fluorescence Studies and Antimicrobial Screening of Thiocyanato (μ1,1-NCS) Linked New Zn(II) Mononuclear Complex Derived from Pyridine Co-ligand

Authors: Dhrubajyoti Majumdar*, Anjali Jha, Priyanka Bhatt

DOI: | Pages: 449-457

Article Image
14. 5 Jan, 2017 Research Article
Studies on Aramid Short Fibers Reinforced Acrylonitrile Butadiene Rubber Composites

Authors: H. Sheik Mohammed, K. Elangovan, V. Subrahmanian

DOI: | Pages: 458-463

Article Image
15. 5 Jan, 2017 Research Article
Phytoremediation Potential of Vetiver Zizanioides: A Green Technology to Remove Pollutants from Pampa River by Hydroponic Technique

Authors: N. Girija*, Maya M. Nair, S. Lakshmi, Soumya S. Pillai

DOI: | Pages: 464-468

Article Image
16. 5 Jan, 2017 Research Article
Sodium Alginate/Tragacanth Gum Blend Hydrogel Membranes for Controlled Release of Verapamil Hydrochloric Acid

Authors: G. Nagarjuna, P. Kumara Babu, Y. Maruthi, A. Parandhama, C. Madhavi, M. C. S. Subha, K. Chowdoji Rao*

DOI: | Pages: 469-477

Article Image
17. 5 Jan, 2017 Review Article
Influence of Artificial Saliva on the Corrosion Behavior of Dental Alloys: A review

Authors: D. Renita*, S. Rajendran, A. Chattree

DOI: | Pages: 478-483

Article Image
18. 5 Jan, 2017 Research Article
Electrochemical Determination of Pindone in Agricultural Formulation and Cereal Samples by Differential Pulse Adsorptive Stripping Voltammetry

Authors: K. N. Shashi Kumar*, N. Y. Sreedhar

DOI: | Pages: 484-489

Article Image
19. 5 Jan, 2017 Research Article
The electrochemical redox behavior of Pyro catechol violet and its quantitative measurement at graphene modified glassy carbon electrode: A voltammetric study

Authors: G. V. Raghunatha Reddy, T. Madhusudana Reddy*, P. Gopal and P. V. Narayana

DOI: | Pages: 490-495

Article Image
20. 5 Jan, 2017 Research Article
Design and application of H-ZSM-5 zeolite loaded Hydroxy propyl cellulose – Poly(vinylpyrrolidone) mixed matrix membranes for dehydration of ethanol by pervaporation

Authors: G. Venkatesulu, P. Kumara Babu, Y. Maruthi, C. Madhavi, A. Parandhama, M.C.S. Subha and K. Chowdoji Rao*,

DOI: | Pages: 496-505

Article Image
21. 5 Jan, 2017 Research Article
Extractive Recovery of Ruthenium (III) from Organic Acid Solutions with 2‑Dodecylaminopyridine

Authors: Umrao B. Shep, Balasaheb R. Arbad*

DOI: | Pages: 506‑511

Article Image