Issue Details

Cover
January, 2022

Volume: 9, Issue: 4

📅 Published on: 05 Jan 2022

Articles in this Issue

1. 5 Jan, 2022 Research Article
Computational Models: A Sustainable Approach to Reveal the Inhibitory Potential of Benzo(a)anthracene and its Monohydroxy Derivatives Against Human Sex Hormone-Binding Globulin

Authors: Nikita Tiwari, Anil Mishra*

DOI: 10.22607/IJACS.2021.904001 | Pages: 250-254

Article Image
2. 5 Jan, 2022 Review Article
Speculative Study of Possible Natural Remediation Methods for Airborne Poly-aromatic Hydrocarbons Engendering Several Respiratory Diseases in Humans: A Review

Authors: Nitya Dubey*, Saima Arif, Samriddhi Dwivedi, Pavan Kumar Nagar, Mukesh Sharma

DOI: 10.22607/IJACS.2021.904002 | Pages: 255-260

Article Image
3. 5 Jan, 2022 Research Article
Evaluation of Molecular Structure and Properties of Acetylacetone Thiosemicarbazone Using DFT Approach: Exploring Quantum Chemistry for Futuristic Applications

Authors: Karnica Srivastava, Tahmeena Khan

DOI: 10.22607/IJACS.2021.904003 | Pages: 261-267

Article Image
4. 5 Jan, 2022 Research Article
Thiazole Core: A Restorative Target in the Discovery of Potent Anti-cancer Agents

Authors: Yashab Fatima, Mahima S. Dayal, Tanvi S. Lal, Imran Ahmad*

DOI: 10.22607/IJACS.2021.904004 | Pages: 268-274

Article Image
5. 5 Jan, 2022 Research Article
Investigating the Effect of NO2 and SO2 Levels on Covid-19 Susceptibility: A Case Study on Diwali 2020

Authors: Ancey Abraham*, Insha Abbas, Alfred J. Lawrence, Tahmeena Khan

DOI: 10.22607/IJACS.2021.904005 | Pages: 275- 280

Article Image
6. 5 Jan, 2022 Research Article
mpact of COVID-19 Lockdown on Ambient Air Quality of Lucknow: Capital City of Most Polluted State in India

Authors: Faiza Ali*, Alfred J. Lawrence, Tahmeena khan

DOI: 10.22607/IJACS.2021.904006 | Pages: 281-287

Article Image
7. 5 Jan, 2022 Research Article
Microwave-Assisted Organic Synthesis: A Green Chemistry Strategy

Authors: Akriti Abraham, Aleena Bano, Muskan, Saman Raza*

DOI: 10.22607/IJACS.2021.904007 | Pages: 288-292

Article Image
8. 5 Jan, 2022 Research Article
Impact of Particulate Matter (RSPM) on First and Second Wave of COVID-19

Authors: Saima Arif*, Ayushi Tewari, Tahmeena Khan, Alfred. J. Lawrence

DOI: 10.22607/IJACS.2021.904008 | Pages: 293-300

Article Image
9. 5 Jan, 2022 Research Article
Microwave-Assisted Organic Synthesis: An Efficient Green Synthesis

Authors: Faiza Ali*, Sonika Bhatia, Akrati Sant

DOI: DOI: 10.22607/IJACS.2021.904009 | Pages: 301-306

Article Image
10. 5 Jan, 2022 Review Article
A Review on Plant Extract based Silver Nanoparticles and its Applications

Authors: Shaista Fatima, Suyashi Mishra, Mahima Mishra, Ekhlakh Veg*

DOI: 10.22607/IJACS.2021.904010 | Pages: 307-311

Article Image
11. 5 Jan, 2022 Research Article
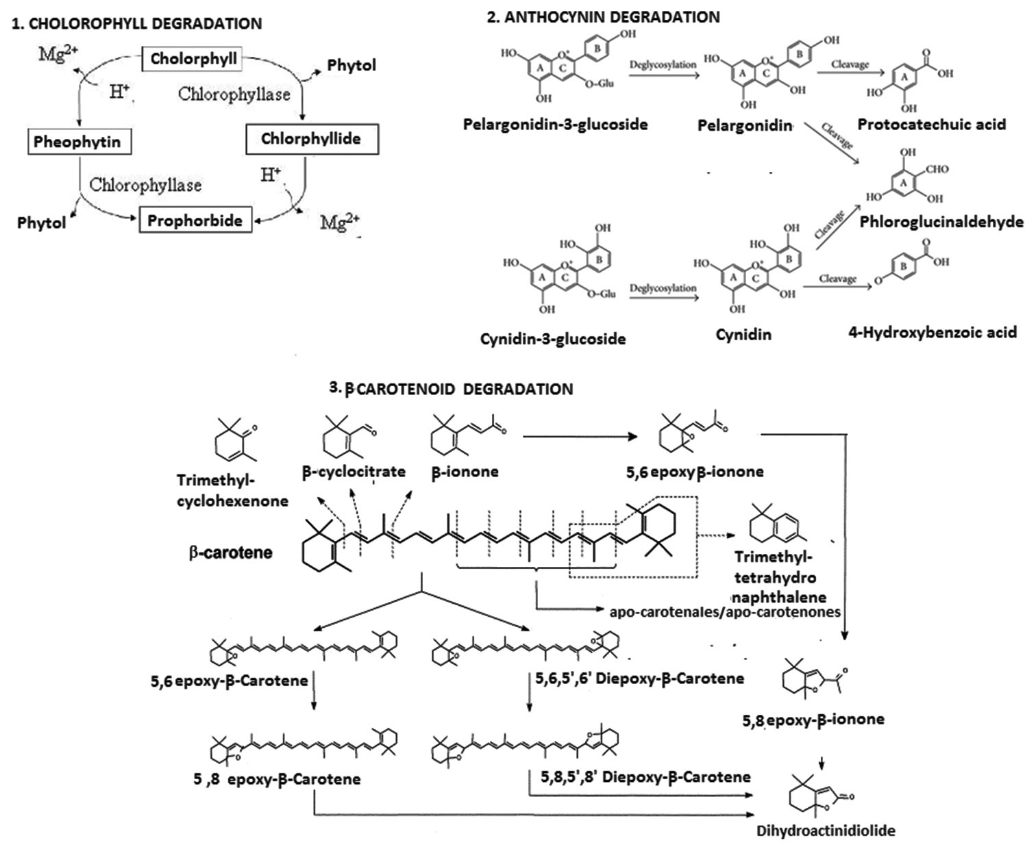
Natural Colorants: A Perfect Substitute of Synthetic Colorant

Authors: Priya Tripathi, Aiyana, Laiba Khan, Deepika Delsa Dean*

DOI: 10.22607/IJACS.2021.904011 | Pages: 312-318

Article Image
12. 5 Jan, 2022 Review Article
The Carbon Nanotube Revolution in Health care: A Review

Authors: Ancey Abraham*, Sonika Bhati

DOI: 10.22607/IJACS.2021.904012 | Pages: 319-323

Article Image
13. 5 Jan, 2022 Research Article
Some Distinctive Applications of Polyacrylamide Composite Hydrogels

Authors: Mini Gupta*, Saima Zehra, Meenakshi Sing

DOI: 10.22607/IJACS.2021.904013 | Pages: 324-328

Article Image
14. 5 Jan, 2022 Research Article
Green Solvents for Sustainable Chemistry: A Futuristic Approach

Authors: S. Dwivedi*, U. Fatima, A. Gupta, T. Khan, A. Lawrence

DOI: 10.22607/IJACS.2021.904014 | Pages: 329-335

Article Image
15. 5 Jan, 2022 Research Article
Bio-medical Waste Management during COVID-19

Authors: Rafat Khan*, Neha Verma, Almas Alvi

DOI: 10.22607/IJACS.2021.904015 | Pages: 336-339

Article Image
16. 5 Jan, 2022 Review Article
A Review on Green Hydrogen: An Alternative of Climate Change Mitigation

Authors: A. Sakshee Rai, B. Mahima Habil Masse

DOI: 10.22607/IJACS.2021.904016 | Pages: 340-345

Article Image
17. 5 Jan, 2022 Research Article
Bio-materials and Bio-active Nano-particles in Immunotherapy

Authors: Sakshi Gupta, Shagufta Tanveer*, Nidhi Singh, Seema Josh

DOI: 10.22607/IJACS.2021.904017 | Pages: 346-351

Article Image
18. 5 Jan, 2022 Research Article
Self-Healing Epoxy Composites: A

Authors: Aransha Maurya*, Nanda Tiwari, Sonika Bhatia

DOI: 10.22607/IJACS.2021.904018 | Pages: 352-356

Article Image
19. 5 Jan, 2022 Research Article
Bio-based Aerogels and Their Applicability in CO2 Capture

Authors: Jagrati Sharma*, Sakshi Priya Jaiswal, Seema Joshi

DOI: 10.22607/IJACS.2021.904019 | Pages: 357-360

Article Image
20. 5 Jan, 2022 Research Article
An Overview of Environmental Contamination of Chromium and Micronuclei Formation in Fishes

Authors: Kamlesh Kumar Yadav, Vivek Kumar, Abha Trivedi, Sunil P. Trivedi

DOI: 10.22607/IJACS.2021.904020 | Pages: 361-367

Article Image
21. 5 Jan, 2022 Research Article
Abating Plastic Footprints of Covid-19: Strategies and Solutions

Authors: Anshika Srivastava, Shweta Agarwal, Sonika Bhatia*

DOI: 10.22607/IJACS.2021.904021 | Pages: 368-373

Article Image
22. 5 Jan, 2022 Research Article
The Role of Plant Growth-promoting Rhizobacteria for Eco-benign Agriculture

Authors: Shambhavi Mishra, Himanshi Yadav, Neerja Masih, Sankarasubramanian Vidyameenakshi*

DOI: 10.22607/IJACS.2021.904022 | Pages: 374-378

Article Image
23. 5 Jan, 2022 Research Article
Production of Bioplastics: A Sustainable Development

Authors: Anjali Bharti, Ankita Srivastava, Shrreya Gupta, Sankarasubramanian Vidyameenakshi*

DOI: 10.22607/IJACS.2021.904023 | Pages: 379-384

Article Image
24. 5 Jan, 2022 Review Article
Pharmacological Activities of Naringenin and its Analogs: A Review

Authors: Sonika Bhatia, Imran Ahmad, Akrati Sant*

DOI: 10.22607/IJACS.2021.904024 | Pages: 385-388

Article Image
25. 5 Jan, 2022 Research Article
Nanotechnology: A Modern Weapon to Conquer Cancer

Authors: Mudita Shukla, Priya Chaturvedi, Akriti Pandey, Madhurima Tiwari*

DOI: 10.22607/IJACS.2021.904025 | Pages: 389-392

Article Image
26. 5 Jan, 2022 Research Article
An Overview of Biomedical Nanotechnology

Authors: Shadma Nafis, Ruby Farheen, Neerja Masih*

DOI: 10.22607/IJACS.2021.904026 | Pages: 393-396

Article Image
27. 5 Jan, 2022 Review Article
Sustainable Food Packaging: A Review of Polylactic Acid as Biodegradable Material

Authors: Reham M. Faheem*, Venessa Robert Osta

DOI: 10.22607/IJACS.2021.904027 | Pages: 397-400

Article Image
28. 5 Jan, 2022 Research Article
Biopesticides: An Eco-friendly Alternative to Chemical Pesticides for Sustainable Agriculture

Authors: Vishakha Pandey, Divyanshi Mishra, Farheen Fatima, Neerja Masih

DOI: 10.22607/IJACS.2021.904028 | Pages: 401-405

Article Image
29. 5 Jan, 2022 Review Article
Beneficial Reuse and Recycling of Plastic Wastes in Construction of Roads: A Review

Authors: Neha Agrawal, Prajnansh Gulzar*, Nishee Yadav, Padmamalika K. Hazra

DOI: 10.22607/IJACS.2021.904029 | Pages: 406-412

Article Image
30. 5 Jan, 2022 Research Article
Goat Milk as a Functional Food: Less Popular yet Nutritionally Substantial

Authors: Neelam Kumari*

DOI: 10.22607/IJACS.2021.904030 | Pages: 413-415

Article Image
31. 5 Jan, 2022 Research Article
Sustainable Applications of Bio-adsorbents from Agricultural Wastes for Eradication of Heavy Metals from Aqueous Medium

Authors: Astha Upadhyay*, Pooja Yadav, Shashi Maurya, S. N. Bharti

DOI: 10.22607/IJACS.2021.90431 | Pages: 416-421

Article Image
32. 5 Jan, 2022 Research Article
Role of Ideonella sakaiensis in Reducing Plastic Waste: Current Updates and Future Prospects

Authors: Shadma Khan, Nidhi Mishra, Laiba Siddiqui, Madhurima Tiwari*

DOI: 10.22607/IJACS.2021.904032 | Pages: 422-425

Article Image